Описание
Применение:
- Перекачивание сточных вод с фекалиями
- Если невозможен отвод в канализацию путем естественного перепада высот
- Для отвода стоков, уровень воды которых ниже уровня обратного подпора в местной канализационной сети
Ваши преимущества
- Защита от переполнения бака.
- В случае большого единовременного притока стоков поплавковый датчик перелива запускает второй параллельно работающий насос
- Возможность непрерывного откачивания за счет применения электродвигателей с режимом работы S1
- Устойчивость к коррозии благодаря применению в конструкции синтетических материалов и нержавеющей стали
- Конструкция установки обеспечивает надежность и исключает протечки за счет прочного бака из полиэтилена высокой плотности
- Обратный клапан с винтом подрыва для вынужденного слива воды из напорного трубопровода
- Износостойкое свободновихревое рабочее колесо из нержавеющей стали
- Экономия электроэнергии до 30% за счет применения электродвигателей с постоянными магнитами
- Устойчивость к засорению за счет функции автоматической очистки рабочего колеса путем включения обратного вращения
- Простое техническое обслуживание благодаря резервуару со съемной ревизионной крышкой
Комплект поставки:
- Готовая к подключению установка отвода стоков с одним или двумя встроенными насосами с обратными клапанами
- Один или два прибора управления в зависимости от количества насосов в установке
- Комплект принадлежностей для монтажа установки и подсоединения трубопроводов
- Инструкция по монтажу и эксплуатации
Показать полностью
Свернуть
Характеристики
Бренд
Native
Вес, кг
25
Минимальная температура перекачиваемой жидкости, °С
3
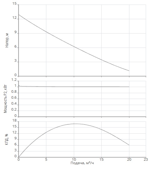
Макс. напор Hmax, м
12.93
Максимальная температура перекачиваемой жидкости, °С
35
Номинальный ток, А
7.5
Подключение к сети, В/Гц
1~220 В / 50 Гц
Макс. рабочее давление, бар
6
Степень защиты
IP68
Номинальная частота вращения n, об/мин
3500
Гидравлический корпус
Синтетический материал LLDPE
Рабочее колесо
нержавеющая сталь
Принцип действия мотора
синхронный
Тип включения
Прямой пуск от сети
Подсоединение к трубопроводу DNs
2x50/4x100 mm
Подсоединение к трубопроводу DNd
DN 80
Номинальная мощность, кВт
1.1
Режим работы (в непогружном состоянии)
S1
Длина кабеля, м
4
Т макс. перекачиваемой горячей жидкости, для кратковременного режима
60
Длительность кратковременного режима для горячей жидкости
3мин
Макс. размер перекачиваемых частиц
35мм
Наличие режущего механизма
Нет
Общий объем бака
60л
Объем включения
30л
Максимальное кол-во включений в час одного насоса
60
Корпус резервуара
Синтетический материал LLDPE
Отзывы
Отзывов еще никто не оставлял
