Описание
Применение:
- RLS 3 FWC, RLS 3 SWC для сточных вод с содержанием фекалий. Возможно подсоединение одного унитаза и трех источников стока (душ, раковина, биде, стиральная/посудомоечная машина).
Ваши преимущества
- Подключение до трех источников и унитаза (исполнения FWC, SWC)
- Наличие моделей как с прямым, так и с боковым присоединением унитаза
- Наличие съемного фильтра посторонних предметов внутри корпуса
- Ревизионная крышка на корпусе для удобной очистки фильтра
- Возможность длительной работы при высокой температуре перекачиваемой жидкости
- Крепежные планки для фиксации напорной установки к поверхности в комплекте
- Низкий уровень шума
- Встроенный фильтр для устранения неприятных запахов
Технические характеристики:
- Подключение к сети: 1~230 В/50 Гц
- Мощность (P2): 0,4 кВт
- Класс изоляции: B
- Cтепень защиты: IP X4
- Тип перекачиваемой жидкости: загрязненная вода/сточная вода
- Значение рН среды: 4 - 10
- Температура перекачиваемой жидкости: от +1 oС до +75 oС (кратковременно, до 60 мин, допустимо до +90 oС)
- Напорный патрубок: 23/28/32/44 мм
- Приточные патрубки: 1×100 мм и 3×40 мм для моделей с режущим механизмом, 3×40 мм для моделей без режущего механизма
- Уровень шума: ≤60 dB (A)
- Общий объем: 15 л
- Объем включения: 3,5 л
Комплект поставки:
- Готовая к подключению напорная установка с режущим механизмом (исполнения FWC, SWC), фильтром с активированным углем и встроенным обратным клапаном
- Инструкция по монтажу и эксплуатации
- Монтажный комплект для приточного и напорного трубопроводов
Показать полностью
Свернуть
Характеристики
Бренд
Native
Вес, кг
6.8
Минимальная температура перекачиваемой жидкости, °С
1
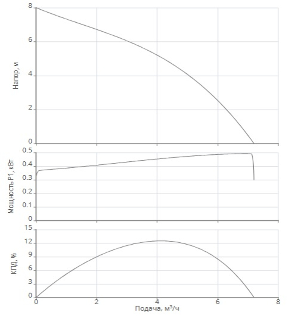
Макс. напор Hmax, м
8.01
Максимальная температура перекачиваемой жидкости, °С
75
Номинальный ток, А
2.7
Подключение к сети, В/Гц
1~220 В / 50 Гц
Макс. рабочее давление, бар
0.06
Степень защиты
IP X4
Номинальная частота вращения n, об/мин
3000
Гидравлический корпус
Полипропилен
корпус электродвигателя
полиамид
Защита электродвигателя от перегрева
биметалл
Класс нагревостойкости изоляции
В
Потребляемая мощность кВт
0.5
Тип включения
Прямой пуск от сети
Подсоединение к трубопроводу DNs
1x100/3 x 40 mm
Подсоединение к трубопроводу DNd
23/28/32/44 mm
Номинальная мощность, кВт
0.4
КПД
80%
Режущий механизм
Нержавеющая сталь
Длина кабеля, м
1.5
Т макс. перекачиваемой горячей жидкости, для кратковременного режима
90С
Длительность кратковременного режима для горячей жидкости
60мин
Макс. размер перекачиваемых частиц
15мм
Наличие режущего механизма
Да
Общий объем бака
15л
Объем включения
3,5л
Максимальное кол-во включений в час одного насоса
360
Корпус резервуара
Полипропилен
Отзывы
Отзывов еще никто не оставлял
