Описание
Применение:
Компактная установка водоотведения предназначена для автоматического отвода загрязненной воды, не содержащей длинноволокнистых включений, жиров, масел (кроме воды из унитазов). Возможно присоединение до двух источников стока (душ, раковина, биде, посудомоечная/стиральная машина). Допускается дополнительное присоединение источника конденсата (например, кондиционера).
Ваши преимущества
- Специальная серия под особые применения: максимально компактная установка для монтажа в сложных условиях (например, за фальшстеной)
- Возможность длительной работы при высокой температуре перекачиваемой жидкости (кратковременно, до 60 мин, допустимо до +85 °С)
- Встроенная тепловая защита электродвигателя и встроенный конденсатор
- Надежные электродвигатель и автоматическая система включения/выключения, рассчитанные на более чем 300 000 циклов срабатываний
- Низкий уровень шума
- Встроенный угольный фильтр на вентиляционном отверстии для устранения неприятных запахов
- Возможность применения для отвода конденсата
- Комплект принадлежностей поставляется вместе с установкой для быстрого и комфортного монтажа
Комплект поставки:
- Готовая к подключению напорная установка с кабелем 1,7 м
- Комплект монтажных принадлежностей
- Инструкция по монтажу и эксплуатации
Показать полностью
Свернуть
Характеристики
Бренд
Native
Вес, кг
4.5
Минимальная температура перекачиваемой жидкости, °С
3
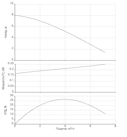
Макс. напор Hmax, м
8.01
Максимальная температура перекачиваемой жидкости, °С
65
Номинальный ток, А
1.8
Подключение к сети, В/Гц
1~220 В / 50 Гц
Макс. рабочее давление, бар
0.06
Степень защиты
IP X4
Номинальная частота вращения n, об/мин
2850
Вал гидравлической части
Нерж.сталь AISI 420
Гидравлический корпус
Полипропилен
Принцип действия мотора
Асинхронный (AC)
корпус электродвигателя
полиамид
Защита электродвигателя от перегрева
биметалл
Класс нагревостойкости изоляции
В
Потребляемая мощность кВт
0.4
Тип включения
Прямой пуск от сети
Подсоединение к трубопроводу DNs
2 x 40 mm
Подсоединение к трубопроводу DNd
23/28/30 mm
Номинальная мощность, кВт
0.25
КПД
62.5%
Длина кабеля, м
1.7
Т макс. перекачиваемой горячей жидкости, для кратковременного режима
85
Длительность кратковременного режима для горячей жидкости
60мин
Макс. размер перекачиваемых частиц
15мм
Наличие режущего механизма
Нет
Общий объем бака
5л
Объем включения
2.8л
Максимальное кол-во включений в час одного насоса
360
Корпус резервуара
Полипропилен
Отзывы
Отзывов еще никто не оставлял
