Описание
Предназначенный для повышения давления воды в системах холодного и горячего водоснабжения. Насос может работать как в ручном, так и в автоматическом режиме. Оснащен тепловой защитой, а также защитой от сухого хода.
Показать полностью
Свернуть
Характеристики
Бренд
WILO
Вес, кг
3.3
Минимальная температура перекачиваемой жидкости, °С
2
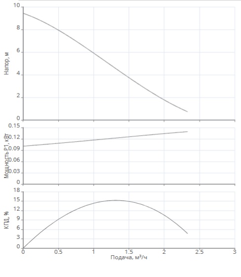
Макс. напор Hmax, м
9.44
Максимальная температура перекачиваемой жидкости, °С
100
Номинальный ток, А
0.47
Подключение к сети, В/Гц
1~220 В / 50 Гц
Макс. рабочее давление, бар
2
Подсоединение к трубопроводу
G ½
Степень защиты
IPX4
Номинальная частота вращения n, об/мин
2900
Вал гидравлической части
Нержавеющая сталь
Гидравлический корпус
Чугун EN-GJL-250
Рабочее колесо
композитный материал
Уровень звукового давления
49 dB
Принцип действия мотора
асинхронный
корпус электродвигателя
алюминий
Защита электродвигателя от перегрева
биметалл
Класс нагревостойкости изоляции
F
Система управления насосом с мембранным баком
нет
Уплотнение со стороны рабочего колеса
Керамика/Графит
Номинальная мощность, кВт
0.06
Отзывы
Отзывов еще никто не оставлял
