Описание
Применение:
Водоотведение из бытовой канализации и канализации земельных участков, отвод сточных вод водного хозяйства, в очистных сооружениях, промышленных и технологических системах.
Ваши преимущества
- Свободновихревое рабочее колесо
- Свободный шаровый проход 40 мм
- Торцевое уплотнение для изоляции электродвигателя
- Промежуточная камера между гидравлической частью и мотором, заполненная белым медицинским маслом, для обеспечения герметичности электродвигателя
- Встроенный конденсатор для однофазных моделей
- Биметаллический датчик в обмотках электродвигателя для защиты его от перегрева
- Подключенный поплавковый выключатель для автономной работы однофазных моделей
- Однофазные модели оснащены УЗО, установленным на электрическом кабеле насоса
- Катафорезное покрытие гидравлической части и рабочего колеса
- Режим S3 для работы в частично погруженном состоянии и возможности откачивания воды до верха гидравлической части
Комплект поставки:
- Насос
- Подключенный поплавковый выключатель (исполнение S)
- Переходник для напорного патрубка 2”- 1½”
- Переходник 2” для подсоединения шланга
- Кабель 10 м (с вилкой и установленным УЗО для однофазных моделей, со свободным концом для трехфазных моделей)
- Инструкция по монтажу и эксплуатации
Показать полностью
Свернуть
Характеристики
Бренд
Native
Вес, кг
18
Минимальная температура перекачиваемой жидкости, °С
3
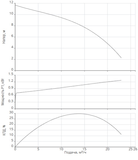
Макс. напор Hmax, м
11.65
Максимальная температура перекачиваемой жидкости, °С
40
Номинальный ток, А
5.2
Подключение к сети, В/Гц
1~220 В / 50 Гц
Макс. рабочее давление, бар
10
Подсоединение к трубопроводу
G2
Степень защиты
IP68
Номинальная частота вращения n, об/мин
2850
Вал гидравлической части
Нерж.сталь AISI 304
Гидравлический корпус
Чугун EN-GJL-200
Рабочее колесо
Чугун EN-GJL-200
корпус электродвигателя
Нерж.сталь AISI 201
Защита электродвигателя от перегрева
биметалл
Класс нагревостойкости изоляции
F
Потребляемая мощность кВт
1.463
Коэффициент мощности
0.82
Тип включения
Прямой пуск от сети
Уплотнение со стороны рабочего колеса
Ceramic: Graphite/Alloy: Silicon Carbide
Номинальная мощность, кВт
0.75
КПД
51.3%
Режим работы (в погружном состоянии)
S1
Количество пусков в час
144
Тип кабеля электропитания
H07RN-F 3x1,5
Длина кабеля
10м
Режущий механизм
Нет
Свободный проход рабочего колеса
40мм
Тип рабочего колеса
Свободновихревое
Отношение пускового тока к номинальному
3.23
Режим работы (в непогружном состоянии)
S3 25%
Тип контрольного кабеля
10
Поплавковый выключатель
Да
Отзывы
Отзывов еще никто не оставлял
