Описание
Применяется для подачи воды из колодцев и глубоко расположенных резервуаров.
Показать полностью
Свернуть
Характеристики
Бренд
WILO
Вес, кг
17
Минимальная температура перекачиваемой жидкости, °С
5
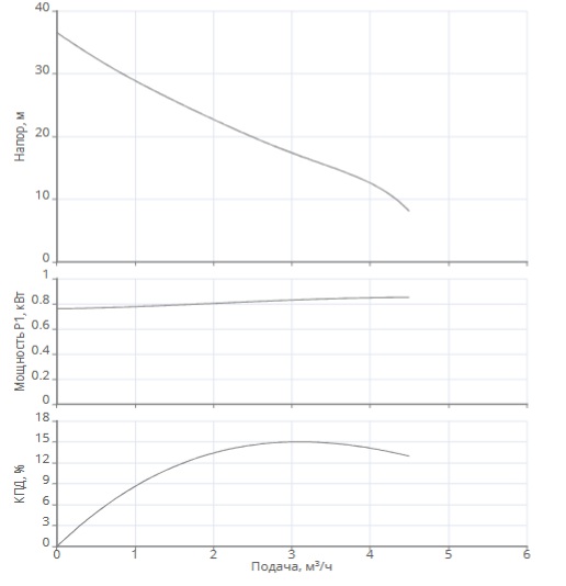
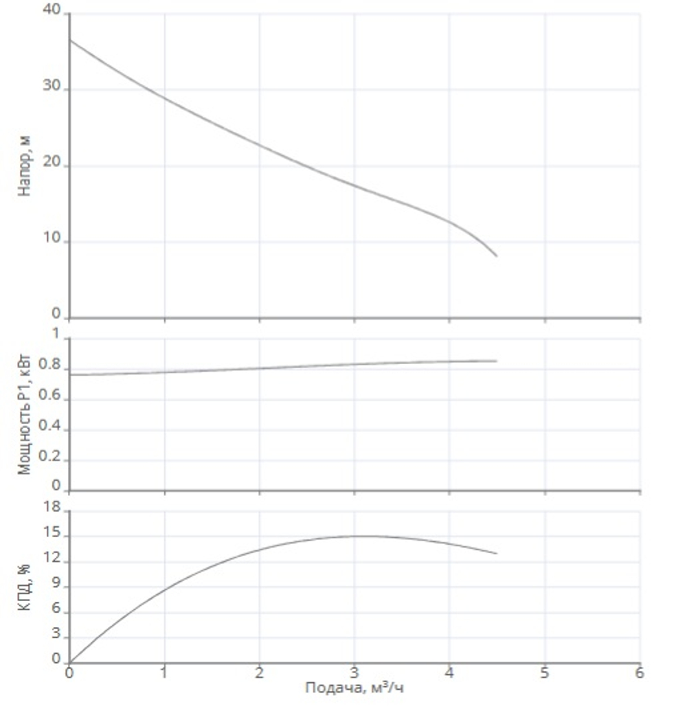
Макс. напор Hmax, м
36.55
Максимальная температура перекачиваемой жидкости, °С
35
Номинальный ток, А
4
Подключение к сети, В/Гц
1~220 В / 50 Гц
Макс. рабочее давление, бар
6
Подсоединение к трубопроводу
Rp 1
Степень защиты
IP 44
Номинальная частота вращения n, об/мин
2900
Вал гидравлической части
Нерж.сталь AISI 304
Гидравлический корпус
Нерж.сталь AISI 304
Рабочее колесо
Нерж.сталь AISI 304
Класс нагревостойкости изоляции
В
Потребляемая мощность кВт
0.55
Система управления насосом с мембранным баком
да
Объем мембранного бака, л
50
Коэффициент мощности
0.98
Тип включения
Прямой пуск от сети
Уплотнение со стороны рабочего колеса
СVPFF
Отзывы
Отзывов еще никто не оставлял
