Описание
Применение:
- Водоснабжение, в т.ч. питьевой водой, из скважин и цистерн
- Снабжение хозяйственной водой
- Использование в системах водоснабжения коммунального хозяйства, для полива и орошения
- Понижение уровня воды
- Перекачивание воды промышленного использования
- Перекачивание воды без длинноволокнистых и абразивных примесей
Ваши преимущества
- Насос в сборе для простоты монтажа
- Встроенный обратный клапан
- Конструкция из устойчивых к коррозии материалов
- Возможность применения насоса в воде с температурой до +30 °C
- Возможность работы с преобразователем частоты
Оснащение/функции:
- Многоступенчатый погружной насос с радиальными или полуаксиальными рабочими колесами
- Встроенный обратный клапан
- Муфта NEMA
- Трехфазный электродвигатель
Показать полностью
Свернуть
Характеристики
Бренд
WILO
Вес, кг
13.8
Минимальная температура перекачиваемой жидкости, °С
3
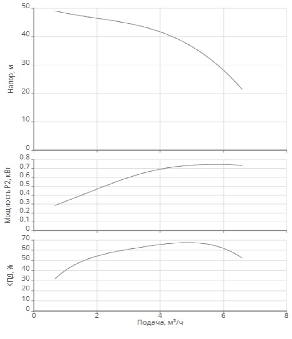
Макс. напор Hmax, м
51.25
Максимальная температура перекачиваемой жидкости, °С
30
Номинальный ток, А
2.6
Подключение к сети, В/Гц
3~380 В / 50 Гц
Макс. рабочее давление, бар
33
Подсоединение к трубопроводу
G1 1/4"
Степень защиты
IP68
Номинальная частота вращения n, об/мин
2850
Вал гидравлической части
Нерж.сталь AISI 304
Гидравлический корпус
Нерж.сталь AISI 304
Рабочее колесо
Нерж.сталь AISI 304
Принцип действия мотора
асинхронный
корпус электродвигателя
Нерж.сталь AISI 304
Класс нагревостойкости изоляции
F
Коэффициент мощности
0.6924
Тип включения
Прямой пуск от сети
Направляющий аппарат
Нерж.сталь AISI 304
Номинальная мощность, кВт
0.75
Количество ступеней
8
Встроенный обратный клапан
да
КПД
67.28%
Режим работы (в погружном состоянии)
S1
Количество пусков в час
180
Тип кабеля электропитания
RVVB 4x0,75
Длина кабеля
2.3м
Диаметр электродвигателя
102мм
Уплотнение со стороны электродвигателя
Сeramic: Graphite
Вал электродвигателя
Нерж.сталь AISI 304
Отзывы
Отзывов еще никто не оставлял
