Описание
Для применения в системах отопления, кондиционирования, теплого пола. Насос разработан специально для частных домов и коттеджей, работает с низким уровнем шума.
Показать полностью
Свернуть
Характеристики
Бренд
Native
Вес, кг
3.1
Минимальная температура перекачиваемой жидкости, °С
2
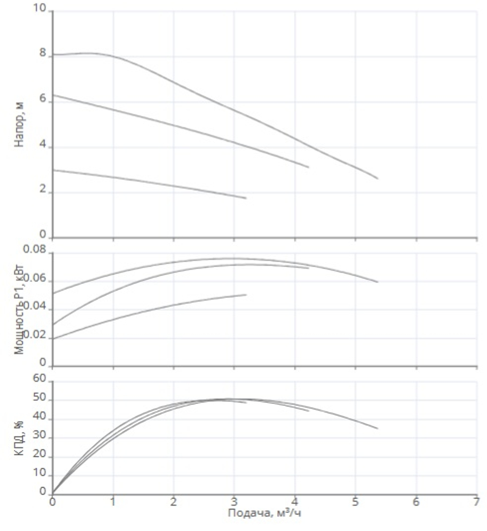
Макс. напор Hmax, м
8.1
Макс. расход Qmax, м3/ч
5.4
Максимальная температура перекачиваемой жидкости, °С
110
Номинальный ток, А
0.7
Класс защиты
IP42
Подключение к сети, В/Гц
1~220 В / 50 Гц
Макс. рабочее давление, бар
10
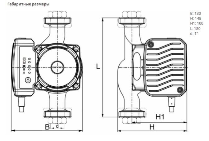
Подсоединение к трубопроводу
G 1 1/2 PN10
Номинальная частота вращения n, об/мин
3000
Вал гидравлической части
керамика
Гидравлический корпус
Чугун EN-GJL-250
Рабочее колесо
композитный материал
Уровень звукового давления
45 dB(A)
Подшипник
керамика
Принцип действия мотора
синхронный
корпус электродвигателя
алюминий
Габаритная длина, мм
180
Индекс энергоэффективности (EEI)
EEI: ≤0,23
Постоянная скорость вращения CS (Constant Speed)
да
Постоянный перепад давления
нет
Пропорциональный перепад давления
да
Адаптивный режим
нет
Класс нагревостойкости изоляции
F
Потребляемая мощность кВт
0.08
Отзывы
Отзывов еще никто не оставлял
